Skip to main content

Preparation Manual

Print this page

Section 4: Sample Selected-Response Questions
TX PACT: Technology Education: Grades 6–12 (771)

Expand All Answers | Collapse All Answers

This section presents some sample exam questions for you to review as part of your preparation for the exam. To demonstrate how each competency may be assessed, sample questions are accompanied by the competency that they measure. While studying, you may wish to read the competency before and after you consider each sample question. Please note that the competency statements do not appear on the actual exam.

The correct answer is provided for each sample exam question. The sample questions are included to illustrate the formats and types of questions you will see on the exam; however, your performance on the sample questions should not be viewed as a predictor of your performance on the actual exam.

The following reference materials will be available to you during the exam:

Domain I—Foundations and Design

Competency 001—Understand the scope and core concepts of technology education.

1. Use the chart below to answer the question that follows.

Chart showing Tasks and the weeks of the tasks.

Planning is week 1, 2, 3 and 4. Design is week 5 and 6. Focus Group is week 6, 10 and 12. Review is week 7 and 8. Revise is week 9. Print is week 10 and 11. Package is week 12 and 13. Distribute is week 14 and 15.

According to the Gantt chart above, the second meeting of the Focus Group occurs at the same time as which of the following tasks?

  1. Design
  2. Revise
  3. Print
  4. Package
Enter to expand or collapse answer.Answer expanded
Option C is correct.

Competency 002—Understand the relationships among technology, society and the environment, and connections between technology and other fields.

2. A pitot tube is a device used to measure the air speed of an airplane. Air flow over the top of the tube results in lower pressure within the tube. The change in pressure in the tube is proportional to the speed of the air flowing over the tube. The principle of operation of the pitot tube is used in which of the following devices in a small gasoline engine?

  1. carburetor
  2. choke
  3. magneto
  4. condenser
Enter to expand or collapse answer.Answer expanded
Option A is correct.

Competency 003—Understand engineering design and its role in technology.

3. Use the diagram below to answer the question that follows.

Process. Identify the problem, Choose the best solution, construct a prototype, x, and redesign the product.

Which of the following steps in the design process is most appropriate to place in the box labeled X?

  1. Gather information
  2. Evaluate the solution
  3. Gather possible solutions
  4. Brainstorm possible solutions
Enter to expand or collapse answer.Answer expanded
Option B is correct.

Competency 004—Understand the role of research and development, experimentation and invention, and troubleshooting in technology.

4. Use the spreadsheet below to answer the question that follows.

Data Chart With A, B , C , D as the column header and the numbers 1 through 8 as row headers.

Data A 1 is 1, B 1 is 3, C 1 is 4, and D 1 is 3. A 2 is 5, B 2 is 84, C 2 is 4, and D 2 is 6. A 3 is 5, B 3 is 6, C 3 is 7, and D 3 is 1. A 4 is 6, B 4 is 3, C 4 is 84, and D 4 is 22. A 5 is 25, B 5 is 7, C 5 is 3, and D 5 is 35. A 6 is 24, B 6 is 8, C 6 is 4, and D 6 is 45. A 7 is 3, B 7 is 9, C 7 is 5, and D 7 is 6. A 8, B 8, C 8, and D 8 are all blank.

If the formula =SUM(B4:B7) is entered in cell B8 in the spreadsheet above, which of the following values will appear in that cell?

  1. 12
  2. 27
  3. 93
  4. 120
Enter to expand or collapse answer.Answer expanded
Option B is correct.

Competency 005—Understand safety.

5. A worker cuts his arm deeply while working on a table saw. Which of the following steps should be taken first by a coworker who is standing nearby?

  1. Apply direct pressure to the wound.
  2. Apply a tourniquet.
  3. Elevate the arm.
  4. Run to a telephone and call 9-1-1.
Enter to expand or collapse answer.Answer expanded
Option A is correct.

Domain II—Energy and Power Technology

Competency 006—Understand principles and characteristics of energy and power technology and of energy resources.

6. A transformer has approximately 2.0 × 102 input windings and approximately 4.0 × 102 output windings. If the input voltage is 120V, what is the output voltage?

  1. 1,200V
  2. 240V
  3. 60V
  4. 12V
Enter to expand or collapse answer.Answer expanded
Option B is correct.

Competency 007—Understand principles and processes related to electrical energy.

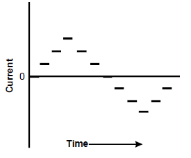
7. Which of the following graphs best represents the voltage of household current?

  1.  Graph showing current on the y axis and time on the x axis. The current starts at the origin and stays steady for a short time and then jumps up in current in a stair step fashion. Up to a peak then decreases past the x axis then increases back up again up to the x axis.
  2. Graph showing current on the x axis and time on the y axis. The current starts at the origin and increases at a steady pace in a straight line up to a peak, then decreases past the x axis down to a low peak then increases back up to the x axis.
  3. Graph showing current on the x axis and time on the y axis.The current starts at some positive value and stays constatnt for some time then hops immediately to some negative value and stays constant for some time.
  4. Graph showing current on the y axis and time on the x axis. The current starts at the origin and increases quickly at first then slowly peaks then starts to decrease quickly past the x axis then slowly makes a lower peak then increases up to the x axis.
Enter to expand or collapse answer.Answer expanded
Option D is correct.

Competency 008—Understand components and operating principles of motors, engines, and mechanical systems.

8. Use the diagram below to answer the question that follows.

A diagram of two wheels.

The two wheels are connected in a pulley fashion. The input wheel on the left has a 36 inch diameter. The output wheel on the right has a 9 inch diameter.

A torque of 25N is applied to the input wheel. What is the resulting torque produced by the output wheel?

  1. 6.25N
  2. 12.5N
  3. 50N
  4. 100N
Enter to expand or collapse answer.Answer expanded
Option A is correct.

Domain III—Information and Communication Technology

Competency 009—Understand principles and characteristics of information and communication technology.

9. Which of the following minerals is important in manufacturing integrated circuits because of its ability to act as a semiconductor?

  1. silver
  2. silicon
  3. magnetite
  4. aluminum
Enter to expand or collapse answer.Answer expanded
Option B is correct.

Competency 010—Understand drafting processes.

10. In drafting, which of the following lines represents a center line?

  1. Heavy dashed line.
  2. Dashed line with a longer dash then 2 shorter dashes then  longer dash.
  3. Dashed line with a longer dash then 1 short dash towards the center.
  4. Continuous line with intermittent zig zags.
Enter to expand or collapse answer.Answer expanded
Option C is correct.

Competency 012—Understand the processes and procedures of electronic communication.

11. In a database query, a filter is most likely to be used to:

  1. import data.
  2. link multiple databases.
  3. limit a search.
  4. convert the format of data.
Enter to expand or collapse answer.Answer expanded
Option C is correct.

Domain IV—Transportation Technology

Competency 013—Understand principles and characteristics of transportation technology.

12. The Automotive Service Excellence (ASE) program provides which of the following services to the automotive industry?

  1. consumer reports on service stations
  2. training programs for technicians
  3. certification programs for service stations
  4. consumer reports on technicians
Enter to expand or collapse answer.Answer expanded
Option B is correct.

Competency 014—Understand the processes and procedures used in transportation technology.

13. A company that operates a fleet of delivery vehicles is considering purchasing vehicle-tracking devices. One system under consideration communicates with vehicles in real-time and allows them to be tracked on a monitor that displays a map. A less expensive system resides entirely on the vehicle, where it collects information using a GPS unit. The unit's information is downloaded when the vehicle returns to the office at the end of the day. Which of the following situations is most likely to make the first, more expensive system the better choice?

  1. The company has small delivery vans rather than large trucks.
  2. The company has fewer than twenty vehicles in its fleet.
  3. The company wants to increase the efficiency of its dispatching.
  4. The company's employees are not technically literate.
Enter to expand or collapse answer.Answer expanded
Option C is correct.

Competency 015—Understand the appropriate selection and use of resources in transportation technology industries.

14. Before inserting a handheld compression gauge into a cylinder of a truck engine, a mechanic disconnects the truck's ignition coil. Which of the following best describes the purpose of disconnecting the ignition coil before beginning the compression test?

  1. identifying the cylinder most in need of testing
  2. avoiding electrical shock
  3. providing a power source for the compression gauge
  4. preventing the engine from starting
Enter to expand or collapse answer.Answer expanded
Option D is correct.

Domain V—Manufacturing Technology

Competency 016—Understand principles and characteristics of manufacturing technology.

15. A company's logo is most likely to be legally protected by laws and regulations related to:

  1. trade secrets.
  2. patents.
  3. copyrights.
  4. trademarks.
Enter to expand or collapse answer.Answer expanded
Option D is correct.

Competency 017—Understand the processes and procedures of manufacturing technology.

16. In metalworking, which of the following processes is most likely to create internal stresses in a metal and reduce the metal's toughness?

  1. hardening
  2. normalizing
  3. tempering
  4. annealing
Enter to expand or collapse answer.Answer expanded
Option A is correct.

Competency 018—Understand the appropriate selection and use of resources in manufacturing technology.

17. In masonry, a bull float is used to:

  1. smooth the surface of concrete.
  2. remove air pockets from concrete.
  3. spread concrete while pouring.
  4. add decorative edges to concrete.
Enter to expand or collapse answer.Answer expanded
Option A is correct.

Domain VI—Construction Technology

Competency 019—Understand principles and characteristics of construction technology.

18. The construction of bridges and dams is usually considered to be part of which of the following construction industries?

  1. light
  2. heavy
  3. industrial
  4. civil
Enter to expand or collapse answer.Answer expanded
Option D is correct.

Competency 020—Understand the processes and procedures of construction technology.

19. A project manager for a residential construction site must schedule a rough electrical inspection. Which of the following must be completed before the inspection?

  1. All fixtures, switches, outlets, and breakers must be installed.
  2. Sheathing and Sheetrock must be installed with evenly spaced inspection panels.
  3. All wiring, junction boxes, subpanels, and the main panel must be in place.
  4. An electric meter must be mounted and electrical service connected.
Enter to expand or collapse answer.Answer expanded
Option C is correct.

Competency 021—Understand the appropriate selection and use of resources in construction technology.

20. Which of the following is an effect of the increasing use of engineered wood in the construction industry?

  1. Forest farming of small-diameter trees can supply material for a wide array of spans and dimensions.
  2. Builders can use a single type of construction lumber for all interior and exterior applications.
  3. On-site labor costs increase due to the greater weight of engineered wood over traditional sawn lumber.
  4. Joist and stud spacing decreases due to the diminished stiffness of engineered wood over sawn lumber.
Enter to expand or collapse answer.Answer expanded
Option A is correct.