Section 4: Sample Selected-Response Questions Mathematics/Science 4–8 (114)
Recommendation for individuals using a screenreader: please set your punctuation settings to "most."
Expand All Answers | Collapse All Answers
This section presents some sample exam questions for you to review as part of your preparation for the exam. To demonstrate how each competency may be assessed, sample questions are accompanied by the competency that they measure. While studying, you may wish to read the competency before and after you consider each sample question. Please note that the competency statements do not appear on the actual exam.
For each sample exam question, there is a correct answer and a rationale for each answer option. The sample questions are included to illustrate the formats and types of questions you will see on the exam; however, your performance on the sample questions should not be viewed as a predictor of your performance on the actual exam.
The following reference materials will be available to you during the exam:
Practice Questions
Domain I—Number Concepts
Competency 001—The teacher understands the structure of number systems, the development of a sense of quantity and the relationship between quantity and symbolic representations.
1. Which of the following numbers are greater than pie?
Select all that apply.
- 3
- 3.14
- 22 divided by 7
- 3.142
- Enter to expand or collapse answer.Answer expanded
- Options C and D are correct because the approximation of pie to five decimal places is 3.14159, and therefore 22 divided by 7 = 3.142857 is greater than pie and 3.142 is greater than pie. Options A and B are incorrect because 3 is less than pie and 3.14 is less than pie.
Competency 002—The teacher understands number operations and computational algorithms.
Use the equation below to answer the question that follows.
x squared + x + 2 = 0
2. Which of the following statements is true about the equation above?
- The equation has no solutions.
- The equation has two real solutions.
- The equation has two complex solutions.
- The equation has one real solution and one complex solution.
- Enter to expand or collapse answer.Answer expanded
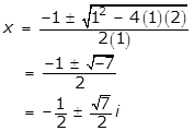
- Option C is correct because the solutions of the equation can be found using the quadratic formula which gives two complex solutions.

a series of steps showing the solution of a quadratic equation. The first step is to set x equal to minus 1 plus or minus the square root of 1 squared minus 4 times 1 times 2 divided by 2 times 1. The second step is to simplify this to minus 1 plus or minus the square root of negative 7 divided by 2. The third step is to simplify this still further to minus one half plus or minus the square root of 7 divided by 2 times the imaginary number i.
Option A is incorrect because the equation has two complex solutions. Options B and D are incorrect because the equation does not have any real solution.
Competency 003—The teacher understands ideas of number theory and uses numbers to model and solve problems within and outside of mathematics.
3. Which of the following is the prime factorization of 900?
- (4)(9)(25)
- (16)(5)(11)
- (2 cubed)(3 cubed)(5 cubed)
- (2 squared)(3 squared)(5 squared)
- Enter to expand or collapse answer.Answer expanded
- Option D is correct because (2 squared)(3 squared)(5 squared) is a factorization of 900 where each of the factors is a prime number. Option A is incorrect because although (4)(9)(25) is a factorization of 900, the factors are not prime numbers. Options B and C are incorrect because they are not factorizations of 900.
Domain II—Patterns and Algebra
Competency 004—The teacher understands and uses mathematical reasoning to identify, extend and analyze patterns and understands the relationships among variables, expressions, equations, inequalities, relations and functions.
Use the student work below to answer the question that follows.
Solve for x: x squared minus 8x = negative 15
Step 1.
x squared minus 8x + 15 = negative 15 + 15
Step 2.
x squared minus 8x + 15 = 0
Step 3.
(x minus 3)(x minus 5) = 0
Step 4.
x minus 3 = 0 or x minus 5 = 0
Step 5.
x = 3 or x = 5
4. Which of the following is the justification for step 4 in the student work above?
- 0 is the identity element for addition.
- (a)(0) = 0 for all real numbers a.
- Division by 0 is undefined.
- The zero product property was used.
- Enter to expand or collapse answer.Answer expanded
- Option D is correct because the zero product property states that ab = 0 implies that a = 0 or b = 0. Options A, B and C are incorrect because although the properties of 0 stated are correct, they are not applied in step 4.
Competency 005—The teacher understands and uses linear functions to model and solve problems.
5. The value of a car that Nakeshia purchased was $11,300. Assuming that the value of the car decreases by $900 every year, which of the following functions correctly models the value of the car, f, after x years?
- f of x = 11,300x + 900
- f of x = 11,300x minus 900
- f of x = 11,300 + 900x
- f of x = 11,300 minus 900x
- Enter to expand or collapse answer.Answer expanded
- Option D is correct because the value of the car when purchased corresponds to x = 0, and the value of the car decreases by $900 for every unit increase of x. Options A and B are incorrect because the value of the functions increase by 11,300 for every unit increase of x. Option C is incorrect because the value of this function increases by 900 for every unit increase of x.
Competency 006—The teacher understands and uses nonlinear functions and relations to model and solve problems.
6. The initial population of a bacteria culture is 300. After 2 hours, the population doubles to 600, and after 4 hours, the population doubles again to 1200. Which of the following functions best models the population, P, of the bacteria as a function of time, t, in hours?
- P of t = 300(2t)
- P of t = 300(2 + t)
- P of t = 300t squared

- Enter to expand or collapse answer.Answer expanded
- Option D is correct because the population can be modeled by an exponential growth function
where A is the initial population, t is the number of hours after the initial time, h is the time, in hours, it takes the population to double, and P(t) is the population after t hours. Using this general exponential model leads to
. Options A, B and C are incorrect because they do not model exponential growth.
Competency 007—The teacher uses and understands the conceptual foundations of calculus related to topics in middle school mathematics.
7. Ship A and ship B start sailing from the same harbor at the same time. Ship A is moving due north at a constant rate and has sailed a distance of x(t) where t is the number of hours since the ships began moving. Ship B is moving due east at a constant rate and has sailed a distance of y(t). The distance between the ships at time t is given by the function
. Which of the following can be used to find the instantaneous rate of change of the distance between the two ships at time t?
- f prime (t)
- f double prime (t)
- f of t minus f of 0 all over t
- integral from f of t dt
- Enter to expand or collapse answer.Answer expanded
- Option A is correct because the derivative of a function at a point is the instantaneous rate of change of the function at that point. Option B is incorrect because the second derivative gives information about the concavity of the graph of a function. Option C is incorrect because f of t minus f of 0 all over t is the slope of the line between (0,0) and (t, f of t). Option D is incorrect because the integral from f of t dt is the indefinite integral of the function f.
Domain III—Geometry and Measurement
Competency 008—The teacher understands measurement as a process.
Use the formula below to answer the question that follows.
C = five ninths (F minus 32)
8. The formula above shows the relationship between C degrees Celsius and F degrees Fahrenheit. In an experiment, a certain chemical is to be kept in a temperature interval between 10 degrees C and 45 degrees C. What is this temperature interval in degrees Fahrenheit?
- Between 8.4 degrees F and 15.4 degrees F
- Between 10 degrees F and 45 degrees F
- Between 50 degrees F and 113 degrees F
- Between 75.6 degrees F and 138.6 degrees F
- Enter to expand or collapse answer. Answer expanded
- Option C is correct because the inequality 10 is less than or equal to C is less than or equal to 45 is equivalent to 10 is less than or equal to five ninths (F minus 32) is less than or equal to 45, which is equivalent to nine fifths (10) + 32 is less than or equal to F is less than or equal to 9 /5 nine fifths (45) + 32, or 50 is less than or equal to F is less than or equal to 113. Option A is incorrect because it results from incorrectly solving the inequality 10 is less than or equal to five ninths (F minus 32) is less than or equal to 45 by first adding 32 to all terms and then multiplying all the terms by one fifth . Option B is incorrect because no calculations were performed; only the units were changed. Option D is incorrect because it results from incorrectly solving the inequality 10 is less than or equal to 5 /9 five ninths (F minus 32) is less than or equal to 45 by first adding 32 to all terms and then multiplying all the terms by nine fifths.
Competency 009—The teacher understands the geometric relationships and axiomatic structure of Euclidean geometry.
Use the figure below to answer the question that follows.

There are two diagonal lines, labeled B and D, intersecting L at the same point and M at different points. Line B, which extends in a slight upward direction, passes through L from the upper left and passes through M on the upper right. Line D, which extends in a steep downward direction, passes through L through the same point as B from the upper left and passes through M on the lower right. There are seven angles labeled in the figure. The angle to the left of L and above D is labeled 1. The angle to the left of L and below B is labeled 2. The angle to the right of L and between B and D is labeled 3. The angle to the left of M and above B is labeled 4. The angle to the left of M and below B is labeled 5. The angle to the left of M and above D is labeled 6. The angle to the right of M and below D is labeled 7.
9. In the figure above lines l and m are parallel, and the triangle containing angle 3, angle 5, and angle 6 is not isosceles. Which of the following angles are congruent to angle 6?
Select all that apply.
- angle 1
- angle 2
- angle 3
- angle 4
- angle 5
- angle 7
- Enter to expand or collapse answer.Answer expanded
- Options A and F are correct. Lines l and m are parallel, so angle 6 is congruent to angle 1 because they are corresponding angles. Because they are vertical angles, angle 6 is congruent to angle 7. Options C and E are incorrect because if either angle 3 or angle 5 was congruent to angle 6, then their opposite sides would be equal, and the triangle would be isosceles, a contradiction. Option B is incorrect because angle 2 and angle 5 are corresponding angles and therefore are congruent, and angle 5 has been established as not being congruent to angle 6. Option D is incorrect because as an exterior angle of the triangle, angle 4 has a measure equal to the sum of angle 3 and angle 6 and therefore must be greater than either one of them individually.
Competency 010—The teacher analyzes the properties of two- and three-dimensional figures.
10. Equilateral triangle ABC has sides of length 2. Equilateral triangle XYZ has sides of length 8. The area of triangle XYZ is how many times the area of triangle ABC?
- 4
- 8
- 16
- 64
- Enter to expand or collapse answer.Answer expanded
- Option C is correct because all equilateral triangles are similar. For similar triangles, there is a similar ratio of the sides and a similar ratio for the areas that is the square of the similar ratio of the sides. Since the ratio of the sides is 4 to 1, the ratio of the areas is 16 to 1, or 16 times greater. Option A is incorrect because the ratio of the sides is not equal to the ratio of the areas. Option B is incorrect because the similar ratio of the areas is not two times the ratio of the sides. Option D is incorrect because the ratio is 16 to 1, not 64 to 1.
Competency 011—The teacher understands transformational geometry and relates algebra to geometry and trigonometry using the Cartesian coordinate system.
11. An equilateral triangle has a perimeter of 24 centimeters. If the triangle is dilated by a factor of 1.5, what is the perimeter of the new triangle?
- 12 centimeters
- 16 centimeters
- 36 centimeters
- 108 centimeters
- Enter to expand or collapse answer.Answer expanded
- Option C is correct because the length of each side of the new triangle is 1.5 times the length of the corresponding side of the original triangle. The perimeter of the original equilateral triangle is 24 centimeters, so the length of each side is 24 divided by 3 = 8 centimeters. The length of each side of the new triangle is 8 times 1.5 = 12 centimeters, and the perimeter of the new triangle is 12 + 12 + 12 = 36. Option A is incorrect because the length of each side of the new triangle is 12. Option B is incorrect because 16 = 24 divided by 1.5 would be the perimeter of the new triangle if the equilateral triangle were dilated by a factor of (1 divided by 1.5). Option D is incorrect because 108 = 1.5(24 + 24 + 24) would be the perimeter of the new triangle if each side of the equilateral triangle were length 24.
12. Which of the following represents the equation of a line in the xy-plane that is the reflection of the line y = 4x minus 1 about the y-axis?
- y = 4x minus 1
- y = 1 fourth x minus 1
- y = negative 4x minus 1
- y equals negative 1 fourth x minus 1
- Enter to expand or collapse answer.Answer expanded
- Option C is correct because if f of x is reflected about the y-axis, then the new function g of x is generated by finding f of negative x. Following this condition, y = 4 of negative x minus 1 = negative 4x minus 1. Option A is incorrect because it is the same function and is not reflected. Option B is incorrect because 1 fourth is the reciprocal of the slope, not the reflection. Option D is incorrect because negative 1 fourth is the slope of a line perpendicular to f and is not necessarily a reflection.
Domain IV—Probability and Statistics
Competency 012—The teacher understands how to use graphical and numerical techniques to explore data, characterize patterns and describe departures from patterns.
Use the list below to answer the question that follows.
List L: 64, 81, 96, 77, 93, 81, 71, 69
13. Which of the following statements is true about the numbers in list L?
- The mean of the numbers in list L is equal to the mode.
- The mean of the numbers in list L is greater than the mode.
- The mean of the numbers in list L is equal to the median.
- The mean of the numbers in list L is greater than the median.
- Enter to expand or collapse answer.Answer expanded
- Option C is correct. The median is calculated by ordering the values in list L from least to greatest and then selecting the middle value from the list. Since the number of values in the list is even, the two middle numbers are 77 and 81. The median is 77 plus 81 over 2 = 79. The mode is the number that appears in list L most frequently, which is 81. The mean is calculated by adding all the values in the list and then dividing by the total number of values, which is 79. Therefore, in list L, the median has the same value as the mean. Option A is incorrect because the mean of 79 in list L does not equal the mode of 81 in list L. Option B is incorrect because the mean of 79 in list L is not greater than the mode of 81 in list L. Option D is incorrect because the mean of 79 in list L is equal to the median of 79 in list L.
Competency 013—The teacher understands the theory of probability.
Use the figure below to answer the question that follows.

14. The spinner shown is in the shape of a circle divided into equal sections numbered 1, 2, 3, 4, 5, 6, 7, and 8. When the arrow on the spinner is spun, it is equally likely that the arrow will land in any of the 8 sections. If the arrow is spun three times, what is the probability that the arrow will land on 8 all three times?
- (1 eighth) (1 eighth) (1 eighth)
- (1 eighth) (1 seventh) (1 sixth)
- (7 eighths) (7 eighths) (7 eighths)
- (7 eighths) (6 sevenths) (5 sixths)
- Enter to expand or collapse answer.Answer expanded
- Option A is correct. The probability of landing on 8 on a single spin is 1 eighth, and because each spin is an independent event, the probability of landing on 8 on all three spins is the product (1 eighth) (1 eighth) (1 eighth). Options B, C and D are incorrect because the events are independent.
Competency 014—The teacher understands the relationship among probability theory, sampling and statistical inference and how statistical inference is used in making and evaluating predictions.
15. A high school has a total of 1100 students. A student in a statistics class takes a random sample of 100 students and finds that 9 of the students sampled are taller than 6 feet. Based on this sample, which of the following is the best estimate of the number of students at the high school who are taller than 6 feet?
- 1
- 10
- 100
- 1000
- Enter to expand or collapse answer.Answer expanded
- Option C is correct because 9 over 100 , or 9%, of the sample is taller than 6 feet; 9% of 1100 is 99, and therefore, 100 is the best estimate among the options provided. Options A, B and D are incorrect because they are wrong order of magnitude.
Domain V—Mathematical Processes and Perspectives
Competency 015—The teacher understands mathematical reasoning and problem solving.
16. A mathematics teacher is conducting a lesson on mathematical modeling. The teacher asks the students to determine how long it would take to walk from Nome, Alaska, to Houston, Texas. By assigning this task, the teacher has asked the students to demonstrate
- an understanding of proofs in mathematics.
- an understanding of estimation and its appropriate uses.
- an understanding of symbolic mathematics.
- the use of manipulatives.
- Enter to expand or collapse answer.Answer expanded
- Option B is correct because to determine how long it would take a student to walk from Nome, Alaska, to Houston, Texas, the students should make a variety of estimates and apply the estimates to a mathematical model. Option A is incorrect because the activity is not designed to use mathematical proofs. Option C is incorrect because the use of estimation is more important in this activity than symbolic mathematics. Option D is incorrect because manipulatives are not needed for the task.
Competency 016—The teacher understands mathematical connections within and outside of mathematics and how to communicate mathematical ideas and concepts.
17. A teacher engages students in a discussion of prime and composite integers. The students are asked to discuss whether 1 is a prime number, whether negative integers can be called primes, and whether fractions can be called prime or composite numbers. The teacher most likely designed this activity to address which of the following objectives?
- Demonstrating the use of multiple representations of mathematical concepts
- Demonstrating the use of formative and summative assessments
- Demonstrating how abstract mathematical concepts relate to a variety of careers and professions
- Demonstrating the use of mathematical terminology as a precise means of expressing mathematical ideas
- Enter to expand or collapse answer.Answer expanded
- Option D is correct because the precise definition of prime numbers is critical to applications and uses of prime numbers. Option A is incorrect because multiple representations of mathematical concepts are not discussed. Option B is incorrect because no assessments were discussed or given with this activity. Option C is incorrect because careers and professions are not discussed.
Domain VI—Mathematical Learning, Instruction and Assessment
Competency 017—The teacher understands how children learn and develop mathematical skills, procedures and concepts.
18. Students are using computer software that allows them to create compass and straightedge constructions on the computer. Which of the following is the best activity for the teacher to ask students to do using the software?
- Finding the zeros of a polynomial
- Finding the maximum and minimum values of differentiable functions
- Finding the circle in the plane that passes through three noncollinear points
- Finding the list of prime numbers greater than 1000 but less than 2000
- Enter to expand or collapse answer.Answer expanded
- Option C is correct because the circle in the plane that passes through three noncollinear points can be found with compass and straightedge constructions. Options A and B are incorrect because these applications can be done with graphing calculators or graphing software. Option D is incorrect because the determination of prime numbers cannot be done with compass and straightedge constructions.
Competency 018—The teacher understands how to plan, organize and implement instruction using knowledge of students, subject matter and statewide curriculum (Texas Essential Knowledge and Skills [TEKS]) to teach all students to use mathematics.
19. An eighth-grade mathematics teacher notices that students are having difficulty understanding the difference between the mean and the median of a set of data. The teacher asks the students to find 10 different data sets from newspapers and Web sites. For each data set the students should calculate the mean and the median and write a paragraph explaining the data set and the significance of the mean and the median. With this activity the teacher demonstrates an understanding of the
- procedures for developing instruction that establishes transitions between concrete, symbolic and abstract representations of mathematical knowledge.
- use of visual media, such as graphs, tables, diagrams and animations, to communicate mathematical information.
- structural properties common to the mathematical disciplines.
- implications of current trends and research in mathematics and mathematics education.
- Enter to expand or collapse answer.Answer expanded
- Option A is correct because the activity asks the students to relate concrete data with abstract concepts. Option B is incorrect because students are not asked to use visual media. Option C is incorrect because the activity references statistics and is not about connections to other mathematical disciplines. Option D is incorrect because the activity does not reference current trends in mathematics education.
Competency 019—The teacher understands assessment and uses a variety of formal and informal assessment techniques to monitor and guide mathematics instruction and to evaluate student progress.
20. Ms. Hernandez gives her mathematics class a 15-minute multiple-choice quiz each Friday covering the material that had been discussed in class that week. The options in the multiple-choice questions include the correct answer as well as incorrect answers that are common misconceptions and common arithmetic mistakes.
Ms. Hernandez counts the number of correct answers and determines the number of students making the same mistakes or making the same misconceptions. By using this testing strategy, Ms. Hernandez is demonstrating how to
- use mathematics to model and solve problems in other disciplines.
- develop a variety of assessments and scoring procedures that assess mathematical understanding and inform instruction strategies.
- use manipulatives and technological tools.
- provide instruction along a continuum from concrete to abstract.
- Enter to expand or collapse answer.Answer expanded
- Option B is correct because by tracking common errors and misconceptions, the teacher can assess the level of mathematical understanding and address those errors through instruction. Option A is incorrect because the testing strategy may be used for any mathematical content, not just solving problems in other disciplines. Option C is incorrect because manipulatives may or may not be used in each weekly assessment. Option D is incorrect because the primary goal of the testing strategy is to identify errors and misconceptions.
Domain VII—Scientific Inquiry and Processes
Competency 021—The teacher understands the correct use of tools, materials, equipment and technologies.
21. Which of the following units is used to represent density?
- g
- mL
- g/mL
- cm cubed
- Enter to expand or collapse answer.Answer expanded
- Option C is correct because density is a measure of mass per unit volume and can be represented by g/mL, which is equivalent to g/cmcubed. Options A, B and D are incorrect because g is a unit of mass, and mL and cm cubed are each a unit of volume.
Competency 022—The teacher understands the process of scientific inquiry and the history and nature of science.
22. Which of the following is the next step after students develop a hypothesis?
- Design an experiment
- Develop a theory
- Analyze experimental data
- Draw conclusions
- Enter to expand or collapse answer.Answer expanded
- Option A is correct because after a hypothesis is developed, an experiment should be designed to test the hypothesis. Option B is incorrect because a theory is not developed until various experiments have been done that result in data that support a hypothesis. Options C and D are incorrect because analyzing data and drawing conclusions are done after the experiment is conducted.
Competency 023—The teacher understands how science impacts the daily lives of students and interacts with and influences personal and societal decisions.
23. Some power plants burn natural gas to produce electricity. Which THREE of the following are alternative sources of power that can be used to reduce the amount of carbon dioxide produced and emitted into the atmosphere during electrical power production?
- Coal power plant
- Hydropower plant
- Wind turbines
- Nuclear power plant
- Enter to expand or collapse answer.Answer expanded
- Options B, C and D are correct because hydropower plants, wind turbines, and nuclear power plants do not directly produce and emit carbon dioxide during their operation and if they are used as an alternative to combustion-powered plants, will result in a reduction in the production and emission of carbon dioxide. Option A is incorrect because coal power plants produce carbon dioxide as a by-product of combustion.
Competency 024—The teacher knows and understands the unifying concepts and processes that are common to all sciences.
24. Which of the following illustrates the concept of equilibrium?
- Leaves burning
- A ball rolling down a hill
- Heat entering into an open refrigerator
- A saturated sugar solution with some solid sugar present
- Enter to expand or collapse answer.Answer expanded
- Option D is correct because in the saturated sugar solution the rate of sugar crystallizing is equal to the rate of sugar dissolving, thus achieving a balance. Option A is incorrect because as leaves burn, carbon combines with oxygen to form carbon dioxide that escapes into the atmosphere along with smoke particles. Option B is incorrect because a ball rolling down hill is not at equilibrium. Option C is incorrect because heat entering an open refrigerator is not an example of equilibrium.
Domain VIII—Physical Science
Competency 025—The teacher understands forces and motion and their relationships.
25. Of the following, which is a statement of Newton's first law of motion?
- Kinetic energy is conserved during the elastic collision of two objects.
- An object at rest will remain at rest unless acted on by an external net force.
- An object's linear momentum is proportional to its mass and speed.
- The acceleration of an object depends on the mass of the object and the net force acting on the object.
- Enter to expand or collapse answer.Answer expanded
- Option B is correct because a statement of Newton's first law of motion is that an object at rest will remain at rest unless acted on by an external net force. Option A is incorrect because although there is conservation of kinetic energy in an elastic collision, it is not a statement of Newton's first law of motion. Option C is incorrect because while linear momentum is the product of the mass and velocity of an object, it is not a statement of Newton's first law of motion. Option D is incorrect because it is a statement of Newton's second law.
Competency 026—The teacher understands physical properties of and changes in matter.
26. Which of the following processes involves a pure solid changing directly into a gas?
- Oxidation
- Vaporization
- Condensation
- Sublimation
- Enter to expand or collapse answer.Answer expanded
- Option D is correct because in the process of sublimation, a pure solid undergoes a phase transition to a gas. Option A is incorrect because oxidation is not a phase transition but is a chemical process. Option B is incorrect because vaporization is the phase transition in which a liquid becomes a gas. Option C is incorrect because condensation is the phase transition in which gas becomes a liquid.
Competency 027—The teacher understands chemical properties of and changes in matter.
27. Which of the following is an ionic compound?
- KCl
- CO2
- CH4
- NH3
- Enter to expand or collapse answer.Answer expanded
- Option A is correct because the compound KCl has ionic bonding between metallic K positive ions and nonmetallic Cl negative ions. Options B, C and D are incorrect because CO2, CH4, and NH3 are covalently bonded molecules.
Competency 028—The teacher understands energy and interactions between matter and energy.
28. Loudness is a characteristic of sound that is related to which of the following properties of a sound wave?
- Frequency
- Speed
- Intensity
- Wavelength
- Enter to expand or collapse answer.Answer expanded
- Option C is correct because loudness is a characteristic of sound that is related to the intensity of the sound wave. Options A, B and D are incorrect because loudness is not related to the frequency, speed, or wavelength of the sound wave.
Domain IX—Life Science
Competency 030—The teacher understands the structure and function of living things.
29. Which of the following organisms have an exoskeleton and jointed appendages?
- Frogs
- Spiders
- Alligators
- Earthworms
- Enter to expand or collapse answer.Answer expanded
- Option B is correct because spiders are arthropods and have an exoskeleton and jointed appendages. Options A, C and D are incorrect because frogs and alligators are vertebrates that have an endoskeleton, and earthworms do not have a skeleton.
Competency 031—The teacher understands reproduction and the mechanisms of heredity.
30. In a particular variety of plant, the allele for red flowers (capital W) is dominant and the allele for white flowers (w) is recessive. Which of the following is the genotype of plants with white flowers?
- capital W capital W
- capital Ww
- ww
- w
- Enter to expand or collapse answer.Answer expanded
- Option C is correct because in complete dominance, only an individual with the genotype ww can have the phenotype of white flowers. Options A and B are incorrect because individuals with the genotype of capital W capital W or capital Ww will each have the phenotype of red flowers since capital W is the dominant allele. Option D is incorrect because each plant has two copies of the gene for flower color, so the genotype of white plants is ww.
Competency 032—The teacher understands adaptations of organisms and the theory of evolution.
31. The wing of a bat and the arm of a gorilla are best described as examples of which of the following?
- Primary structures
- Vestigial structures
- Homologous structures
- Analogous structures
- Enter to expand or collapse answer.Answer expanded
- Option C is correct because in evolutionary biology a bat wing is homologous to the arm of a gorilla. Homologous structures are adapted to different purposes as a result of descent with modification from a common ancestor. Option A is incorrect because the term "primary structures" is not a term associated with the relationship between a bat wing and the arm of a gorilla. Option B is incorrect because a vestigial structure has lost much or all of the functions it had in its ancestors, such as the eyes of a mole, which are covered by a layer of skin and no longer function. Option D is incorrect because analogous structures, such as the wings of a bat and the wings of a moth, have similar functions in two different organisms, but were not present in a common ancestor and evolved separately.
Competency 033—The teacher understands regulatory mechanisms and behavior.
32. Of the following, which is the best example of homeostasis?
- In humans, the enzyme salivary amylase catalyzes the digestion of some starches in the mouth.
- Marine birds use salt glands to remove excess salt from the seawater they drink to maintain a balance between salt and water.
- Spores are produced internally in mushrooms and then are dispersed externally.
- When a blood vessel is damaged, blood that leaks out undergoes processes that result in a blood clot that stops blood loss.
- Enter to expand or collapse answer.Answer expanded
- Option B is correct because homeostasis is a process that maintains the stability of internal conditions such as the maintenance of a balance between salt and water in a marine bird. Option A is incorrect because the chemical process involving salivary amylase is an example of a digestive process. Option C is incorrect because the production and dispersal of mushroom spores is an aspect of asexual reproduction. Option D is incorrect because the processes that result in blood clotting and a cessation of bleeding from a blood vessel is called hemostasis.
Competency 034—The teacher understands the relationships between organisms and the environment.
33. Which of the following is typically a secondary consumer in a food chain?
- Tree
- Deer
- Squirrel
- Fox
- Enter to expand or collapse answer.Answer expanded
- Option D is correct because a fox is a secondary consumer. Foxes eat animals such as squirrels that are primary consumers. Option A is incorrect because a tree is a primary producer. Primary producers are the organisms in an ecosystem that produce biomass from inorganic compounds. Options B and C are incorrect because deer and squirrels are primary consumers. Primary consumers eat primary producers.
Domain X—Earth and Space Science
Competency 035—The teacher understands the structure and function of earth systems.
34. Of the following, which describes an atoll?
- A sandy landform that extends out from a mainland coast
- A sandy landform that is parallel to a mainland coast
- A long narrow inlet with steep sides created by glacial erosion
- A ring-shaped coral reef that partially or completely encircles a lagoon
- Enter to expand or collapse answer.Answer expanded
- Option D is correct because an atoll is a ring-shaped coral reef that partially or completely encircles a lagoon. Option A is incorrect because a spit is a sandy landform that extends out from a mainland. Option B is incorrect because a barrier island is a sandy landform that is parallel to a coastline. Option C is incorrect because a fjord is a long narrow inlet with steep sides that was created by glacial activity.
Competency 036—The teacher understands cycles in earth systems.
35. Which of the following is a metamorphic rock?
- Slate
- Granite
- Basalt
- Sandstone
- Enter to expand or collapse answer.Answer expanded
- Option A is correct because slate is a metamorphic rock. Options B and C are incorrect because granite and basalt are igneous rocks. Option D is incorrect because sandstone is a sedimentary rock.
Competency 037—The teacher understands the role of energy in weather and climate.
36. If the relative humidity is 95% on a day when the air temperature is 85.0degreesF, which of the following is most likely closest to the dew point?
- 95.0 degrees F
- 85.0 degrees F
- 84.0 degrees F
- 45.0 degrees F
- Enter to expand or collapse answer.Answer expanded
- Option C is correct because the dew point of this particular air sample must be slightly below 85.0 degrees F, so the correct answer is 84.0 degrees F. Relative humidity is the amount of water vapor in the air compared to the amount required for saturation, expressed as a percentage. The maximum amount of water vapor that can be in the air decreases with decreasing temperature. The dew point is the temperature to which an air sample would have to be cooled for saturation to occur (dew is likely to form at this temperature). Therefore, when the relative humidity is very high (such as 95%) the air is almost saturated and the temperature would only have to decrease a small amount to reach saturation (100% relative humidity). Option A is incorrect because if the air temperature were 95.0 degrees F, the relative humidity would be lower than 95% and well above the dew point. Option B is incorrect because the relative humidity is only 95% at 85.0 degrees F, and relative humidity is 100% at the dew point. Option D is incorrect because the air would become saturated (100% relative humidity) and therefore dew would start to form long before the temperature dropped to 45.0 degrees F.
Competency 038—The teacher understands the characteristics of the solar system and the universe.
37. Which of the following is a late stage in the life cycle of most low-mass stars?
- Black hole
- White dwarf
- Red supergiant
- Supernova
- Enter to expand or collapse answer.Answer expanded
- Option B is correct because for most stars of low mass, white dwarf is a late stage in the life cycle of the star. Options A, C and D are incorrect because they are stages in the life cycle of a star with a very large mass.
Competency 039—The teacher understands the history of the Earth system.
38. The half-life of carbon-14 is 5,730 years. How much of the original quantity of carbon-14 in a sample remains after 22,920 years?
- One-half
- One-quarter
- One-eighth
- One-sixteenth
- Enter to expand or collapse answer.Answer expanded
- Option D is correct because 22,920 years is four half-lives (four times 5,730 years), and after four half-lives elapse, one-sixteenth of the original quantity of carbon-14 remains. During each half-life, half of the remaining carbon-14 radioactively decays. So after four half-lives, the amount of carbon-14 in the sample is equal to (1/2)(1/2)(1/2)(1/2) times the original quantity of carbon-14 (one-sixteenth of the original quantity). Options A, B, and C are incorrect because they do not represent the correct quantity of carbon-14 remaining.
Domain XI—Science Learning, Instruction and Assessment
Competency 040—The teacher has theoretical and practical knowledge about teaching science and about how students learn science.
39. Which of the following student statements is an example of a student misconception about science?
- Positively charged ions have lost electrons and have an imbalance between positive and negative charges.
- The boiling point is the highest possible temperature of a substance.
- Even though an object is not moving, it has energy.
- The Moon orbits Earth in approximately 27.32 days.
- Enter to expand or collapse answer.Answer expanded
- Option B is correct because the student statement that the boiling point is the highest temperature possible of a substance is a misconception. After a substance undergoes a phase transition from liquid to gas at its boiling point, its temperature can increase above the boiling point if additional energy is absorbed by the substance. Option A is incorrect because the student statement that positively charged ions have lost electrons and have an imbalance between positive and negative charges is not a misconception, but is true based on current models of the atom. Option C is incorrect because the student statement that an object that is not moving still has energy is not a misconception; it is true. For example, an object that is not moving has potential energy based on its position relative to the ground due to gravitational forces, and it has potential energy based on the relative positions of the atoms in the material from which it is made. Option D is incorrect because the student statement that the Moon orbits Earth in approximately 27.32 days is not a misconception but is correct based on measurements of the Moon's motion around Earth relative to distant stars.
Competency 042—The teacher knows the varied and appropriate assessments and assessment practices to monitor science learning in laboratory, field and classroom settings.
40. A short written multiple-choice quiz given after the first section of a unit on chemical and physical properties of matter is an example of
- a formative assessment.
- a performance assessment.
- a summative assessment.
- a self-assessment.
- Enter to expand or collapse answer.Answer expanded
- Option A is correct because a formative assessment is used to monitor student progress and to inform both student and teacher of areas that need additional work. Option B is incorrect because a performance assessment involves assessing a student's performance of a task, such as a lab activity, to assess how well the student understands the concepts he or she has learned. Option C is incorrect because a summative assessment occurs after completion of learning and assesses what has been learned and how well it has been learned. Option D is incorrect because a self-assessment involves the student evaluating his or her own learning.