Section 4: Sample Selected-Response Questions Mathematics/Physical Science/Engineering 6–12 (274)
Expand All Answers | Collapse All Answers
This section presents some sample exam questions for you to review as part of your preparation for the exam. To demonstrate how each competency may be assessed, sample questions are accompanied by the competency that they measure. While studying, you may wish to read the competency before and after you consider each sample question. Please note that the competency statements do not appear on the actual exam.
For each sample exam question, there is a correct answer and a rationale for each answer option. The sample questions are included to illustrate the formats and types of questions you will see on the exam; however, your performance on the sample questions should not be viewed as a predictor of your performance on the actual exam.
The following reference materials will be available to you during the exam:
Domain I—Number Concepts
Competency 001—The teacher understands the real number system and its structure, operations, algorithms and representations.
1. If S equals open curly bracket negative i, negative 1, 0, 1, i close curly bracket, where i squared equals negative 1, which of the following statements is true?
- S is closed under addition.
- S is closed under subtraction.
- S is closed under multiplication.
- S is closed under division.
- Enter to expand or collapse answer.Answer expanded
- Option C is correct because the multiplication of any two elements of S returns an element of S. Option A is incorrect because 1 plus 1 equals 2, and 2 is not an element of S. Option B is incorrect because negative 1 minus 1 equals negative 2, and negative 2 is not an element of S. Option D is incorrect because division by 0 is undefined.
Competency 002—The teacher understands the complex number system and its structure, operations, algorithms and representations.
2. Let z equals a plus b i where a and b are real numbers and i squared equals negative 1. Then z cubed equals
- open paren a cubed plus ab squared close paren plus i open paren a squared b plus b cubed close paren
- open paren a cubed plus 3ab squared close paren plus i open paren 3a squared b plus b cubed close paren
- open paren a cubed minus ab squared close paren plus i open paren a squared b minus b cubed close paren
- open paren a cubed minus 3ab squared close paren plus i open paren 3a squared b minus b cubed close paren
- Enter to expand or collapse answer.Answer expanded
- Option D is correct because:
this is an equation with 4 lines. line 1: z cubed equals open paren a plus bi close paren cubed
line 2: equals a cubed plus 3a squared bi plus 3a open paren bi close paren squared plus open paren bi close paren cubed
line 3: equals a cubed plus 3a squared bi minus 3ab squared minus ib cubed
line 4: equals open paren a cubed minus 3ab squared close paren plus i open paren 3a squared b minis b cubed close paren
Option A is incorrect because the coefficients of ab squared and a squared b are incorrect. Option B is incorrect because the coefficients of ab squared and b cubed are incorrect. Option C is incorrect because the coefficients of ab squared, a squared b and b cubed are incorrect.
Domain II—Patterns and Algebra
Competency 005—The teacher understands attributes of functions, relations and their graphs.
Use the functions below to answer the question that follows.
f of x equals 2x squared
g of x equals 4x plus x squared
3. Which of the following is f of g of x?
- 8x squared plus 4x to the power of 4
- 4x plus 3x squared
- 32x squared plus 16x cubed plus 2x to the power of 4
- 8x cubed plus 2x to the power of 4
- Enter to expand or collapse answer.Answer expanded
- Option C is correct because when evaluating the composite function, g of x is replaced by 4x plus x squared, then this expression is squared, and finally it is multiplied by 2, as indicated by f of x. In other words:
equation with 4 lines. line 1: f of g of x equals f of the quantity 4x plus x squared
line 2: 2 times the quantity 4x plus x squared squared
line 3: 2 times the quatity 16x squared plus 8x cubed plus x to the power of 4
line 4: 32x squared plus 16x cubed plus 2 x to the power of 4Option A is incorrect. Option A is g of f of x. Option B is incorrect. Option B is f of x plus g of x. Option D is incorrect. Option D is f of x g of x.
4. If f is a function defined by f of x equals negative 1 third x plus 1, for all x, which of the following is f inverse?
- f inverse of x equals 1 third x plus 1
- f inverse of x equals negative 3x plus 3
- f inverse of x equals 3x minus 3
- f inverse of x equals negative 1 third x plus 1
- Enter to expand or collapse answer.Answer expanded
- Option B is correct because to find the inverse function f inverse of the original function f, first substitute y for f of x, in the equation, then switch the variables and solve for the new y, or f inverse of x:
equation with 6 lines. line 1: f of x equals negative 1 third x plus 1 line 2: y equals negative 1 third x plus 1 line 3: x equals negative 1 third y plus 1 line 4: x minus 1 equals negative 1 third y line 5: negative 3 open paren x minus 1 close paren equals y line 6: f inverse of x equals negative 3x plus 3
If g of x equals f inverse of x, then f composed with g at x equals x.
Option A is incorrect because the composition of g of x equals 1 third x plus 1 with f of x equals negative 1 third x plus 1 is f composed with g at x equals negative 1 third open paren 1 third x plus 1 close paren plus 1 equals negative 1 ninth x plus 2 thirds is not equal to x.
Option C is incorrect because the composition of g of x equals 3x minus 3 with f of x equals negative 1 third x plus 1 is f composed with g at x equals negative 1 third open paren 3x minus 3 close paren plus 1 equals negative x plus 2 is not equal to x.
Option D is incorrect because the composition of g of x equals negative 1 third x plus 1 with f of x equals negative 1 third x plus 1 is f composed with g at x equals negative 1 third open paren negative 1 third x plus 1 close paren plus 1 equals 1 ninth x plus 2 thirds is not equal to x.
Competency 007—The teacher understands polynomial, rational, radical, absolute value and piecewise functions, analyzes their algebraic and graphical properties and uses them to model and solve problems.
Use the equation below to answer the question that follows.
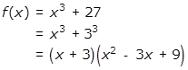
f of x equals x cubed plus 27
5. Which of the following statements is true?
- f of x has no real roots.
- f of x has one real root and two complex roots.
- f of x has two real roots and one complex root.
- f of x has three real roots.
- Enter to expand or collapse answer.Answer expanded
- Option B is correct because the expression in the function can be factored as the sum of two cubes. This means
this is an equation with 3 lines.
line 1: f of x equals x cubed plus 27 line 2: equals x cubed plus 3 cubed line 3: equals open paren x plus 3 close paren open paren x cubed minus 3 x plus 9 closed paren
The first of these polynomials has a real root of negative 3.
To determine the types of roots for the second polynomial, use the Discriminant of the quadratic equation this is an equation with 3 lines.
line 1: x squared minus 3x plus 9, line 2: b squared minus 4ac equals open paren negative 3 close paren squared minus 4 open paren 1 close paren open paren 9 close paren line 3: equals 9 minus 36 equals negative 27
The Discriminant of the second polynomial is negative, so it must have two complex roots. So f of x has one real root, x equals negative 3, and two complex roots, x equals 3 plus 3i square root 3 all over 2 and x equals 3 minus 3i square root 3 all over 2.
Option A is incorrect because negative 3 is a real root of the function. Option C is incorrect because if complex roots of polynomials with real coefficients occur, they must occur in pairs. Option D is incorrect because there is only one real root, negative 3.
6. Let f be the function defined by f of x equals 5 plus the square root of 1 minus open paren x minus 2 close paren squared for all real numbers x for which f of x is a real number. Which of the following is the domain of f ?
- [0, 1]
- [1, 3]
- [1,infinity)
- (negative infinity,3]
- Enter to expand or collapse answer.Answer expanded
- Option B is correct because in order for f of x to be a real number, the radicand must be greater than or equal to 0:
This equation has 6 lines. Line 1: 1 minus open paren x minus 2 close paren squared is greater than or equal to 0 Line 2: negative open paren x minus 2 close paren squared is greater than or equal to negative 1 Line 3: open paren x minus 2 close paren squared is less than or equal to 1 Line 4: open paren x minus 2 close paren squared minus 1 is less than or equal to 0 Line 5: open paren x minus 2 minus 1 close paren open paren x minus 2 plus 1 close paren is less than or equal to 0 Line 6: open paren x minus 3 close paren open paren x minus 1 close paren is less than or equal to 0
This shows that the x-intercepts for the function are at x = 1 and x = 3. To determine in which intervals open paren x minus 1 close paren open paren x minus 3 close paren is less than 0, test values that are- less than 1: let x equals 0, f of 0 equals open paren negative 1 close paren open paren negative 3 close paren equals 3
So on the interval open paren negative infinity, 1 close paren, open paren x minus 1 close paren open paren x minus 3 close paren is greater than 0. - between 1 and 3: Let x equals 2, f of 2 equals open paren 2 minus 1 close paren open paren 2 minus 3 close paren equals negative 1
So on the interval open paren 1, 3 close paren, open paren x minus 1 close paren open paren x minus 3 close paren is less than 0. - greater than 3: x equals 4, f of 4 equals open paren 4 minus 1 close paren open paren 4 minus 3 close paren equals 3
On the interval open paren 3, infinity close paren, open paren x minus 1 close paren open paren x minus 3 close paren is greater than 0.
- less than 1: let x equals 0, f of 0 equals open paren negative 1 close paren open paren negative 3 close paren equals 3
Competency 009—The teacher understands trigonometric and circular functions, analyzes their algebraic and graphical properties and uses them to model and solve problems.
Use the problem below to answer the question that follows.
Let f of x equals cosine x minus sine x. What are all solutions to f of x equals 0?
7. Which of the following is true?
- f of x has no solutions.
- f of x has exactly one solution, x equals pi over 4.
- f of x has an infinite number of solutions, x equals pi over 2 plus or minus 2 n pi, where n is any integer.
- f of x has an infinite number of solutions, x equals pi over 4 plus or minus n pi, where n is any integer.
- Enter to expand or collapse answer.Answer expanded
- Option D is correct because the difference of the functions of cosine and sine will produce an oscillating function that will intersect with the x-axis, periodically. Use the following steps to determine the zeros of the function:
this function has 6 lines. line 1: cosine x minus sine x equals 0 line 2: open paren cosine x minus sine x close paren squared equals 0 squared line 3: cosine squared x minus 2 sine x cosine x plus sine squared x equals 0 line 4: 1 minus 2 sine x cosine x equals 0 line 5: 2 sine x cosine x equals 1 line 6: 2 sine x equals 1
This means that, where n is an integer,
this equation has 2 lines. line 1: 2x equals pi over 2 plus or minus 2 n pi line 2: x equals pi over 4 plus or minus n pi
Options A and B are incorrect because f of x has an infinite number of zeros. Option C is incorrect because when n equals 0, x equals pi over 2, which is not a solution of f of x.
Competency 010—The teacher understands and solves problems using differential and integral calculus.
8. Which of the following represents an expression that will calculate the area enclosed by the graph of y equals negative 2x plus 5 and the positive x- and y-axes?
- the integral from 0 to 5 of open paren negative 2x plus 5 close paren dx
- the integral from negative 2 to 5 of open paren negative 2x plus 5 close paren dx
- the integral from 0 to 5 over 2 of open paren negative 2x plus 5 close paren dx
- the integral from 5 over 2 to 5 of open paren negative 2x plus 5 close paren dx
- Enter to expand or collapse answer.Answer expanded
- Option C is correct; to find the area under a curve, use the definite integral the integral from a to b of f of x dx, where f of x is the function, a is the lower bound of the definite integral, and b is the upper bound. When the function y equals negative 2x plus 5 is graphed along with the positive x- and y-axes, a right triangle is formed. The lower bound is x equals 0 (the leftmost x-value possible), and the upper bound is the x-intercept of f of x. To find the upper bound, let y equals 0 and solve for x:
the equation has 3 lines. line 1: 0 equals negative 2x plus 5 line 2: 2x equals 5 line 3: x equals 5 over 2
The definite integral that gives the required area is:
the integral from 0 to 5 over 2 of open paren negative 2x plus 5 close paren dx
Options A, B and D are incorrect because the bounds of integration are incorrect.
9. If f is a differentiable real-valued function such that f prime of x is greater than 0 and f double prime of x is less than 0 for all x is greater than or equal to zero, which of the following could be the graph of f in the xy-plane?
- The data curve starts on the x axis to the left of the y axis, slopes up steeply at first, passes through the y axis, then continues up to the right at an increasingly shallow slope.
- The data curve starts high to the left of the y axis, slopes down to the right through the y axis, and continues to the right at an increasingly shallow slope, never touching the x axis.
- The data curve starts below the x axis to the left of the y axis, curves up through the x axis until it approaches the y axis, curves back down through the y axis, continues down to the right until it reaches the x axis, where it curves back up and continues up to the right.
- The data curve starts high to the left of the y axis, curves down through the y axis, soon turns back up and continues up to the right, never reaching the x axis, all in a curve that is almost but not quite a circular arc.
- Enter to expand or collapse answer.Answer expanded
- Option A is correct; if a function's first derivative f prime of x is greater than 0 as x is greater than 0, then the function must increase on the interval (0, infinity); only graph A behaves in this way. Further, if a function's second derivative f double prime of x is less than 0 as x is greater than 0, then the function must be concave down on the interval (0, infinity); again, only graph A behaves in this way. So graph A is the graph of f. Option B is incorrect because the graph shown is decreasing, not increasing. Option C is incorrect because the graph shown is increasing for some x is greater than 0 and decreasing for other values. Option D is incorrect because it is concave up.
Domain III—Geometry and Measurement
Competency 012—The teacher understands geometries, in particular Euclidian geometry, as axiomatic systems.
10. In Euclidean geometry, the sum of the interior angles of a triangle is 180 degrees. Let ABC be a triangle in elliptical geometry. Which of the following statements about the measures of angles A, B and C is true?
- measurement of angle A plus measurement of angle B plus measurement of angle C equals 180 degrees
- measurement of angle A plus measurement of angle B plus measurement of angle C is less than 180 degrees
- measurement of angle A plus measurement of angle B plus measurement of angle C is greater than 180 degrees
- measurement of angle A plus measurement of angle B plus measurement of angle C equals infinity
- Enter to expand or collapse answer.Answer expanded
- Option C is correct because elliptical geometry is concerned with geometry of a sphere, and not a flat plane. In elliptical geometry, the "lines" are great circles on the sphere, i.e., circles whose centers are at the center of the sphere. The sides of a triangle drawn on a sphere are arcs of great circles. In elliptical geometry, the sum of the measures of a triangle is greater than 180 degrees. Option A is incorrect. This statement is true in Euclidean geometry. Option B is incorrect. This statement is true in hyperbolic geometry. Option D is incorrect. This statement does not characterize any geometry.
Competency 013—The teacher understands the results, uses and applications of Euclidian geometry.
Use the figure below to answer the question that follows.
The figure shows a right triangle with the long leg horizontal. The vertical leg is dimensioned as 20. A short vertical line, dimensioned as 6, is drawn inside the triangle with its endpoints on the horizontal leg and the hypotenuse. The length of the horizontal leg from the acute angle to the short vertical line is dimensioned as L, and the remaining length of the horizontal leg is dimensioned as x.
11. A student drew the figure shown to model a person 6 feet tall walking away from a lamppost 20 feet tall. Based on the figure, which of the following is true?
- L over 6 equals the quantity x plus L, over 20.
- L over 6 equals x over 20.
- The quantity x plus L, over 6 equals x over 20.
- The quantity x plus L, over 6 equals L over 20.
- Enter to expand or collapse answer.Answer expanded
- Option A is correct because the corresponding angles of the nested triangles are congruent and the triangles are similar. Because the right triangles are similar, the corresponding sides of the triangles must be proportional. So the ratio of L over 6 must equal the ratio of quantity of x plus L over 20. Option B is incorrect because x does not represent the length of the entire side of the triangle. Option C is incorrect because x plus L corresponds to 20, not 6. Option D is incorrect because l corresponds to 6, not 20 and x plus L corresponds to 20, not 6.
Competency 014—The teacher understands coordinate, transformational and vector geometry and their connections.
12. Let v equals open paren a sub 1, b sub 1, c sub 1 close paren and w equals open paren a sub 2, b sub 2, c sub 2 close paren be vectors in R cubed. If the dot product of two vectors is given by v times w equals a sub 1 a sub 2 plus b sub 1 b sub 2 plus c sub 1 c sub 2, and the norm of v equals the square root of v times v, then which of the following is equivalent to open paren v + w close paren times v minus open paren v plus w close paren times w equals 0?
- the norm of v squared plus v times w plus the norm of w squared equals 0
- the norm of v squared plus 2v times w minus the norm of w squared equals 0
- the norm of v squared minus 2v times w plus the norm of w squared equals 0
- the norm of v squared minus the norm of w squared equals 0
- Enter to expand or collapse answer.Answer expanded
- Option D is correct because the first expression of the equation can be simplified to:
the equation has 4 lines. line 1: open paren v plus w close paren times v
line 2: equals open paren a sub 1 plus a sub 2, b sub 1 plus b sub 2, c sub 1 plus c sub 2 close paren times open paren a sub 1, b sub 1, c sub 1 close paren
line 3: equals a sub 1 open paren a sub 1 plus a sub 2 close paren plus b sub 1 open paren b sub 1 plus a sub 2 close paren plus c sub 1 open paren c sub 1 plus c sub 2 close paren
line 4: equals a sub 1 a sub 1 plus a sub 1 a sub 2 plus b sub 1 b sub 1 plus b sub 1 b sub 2 plus c sub 1 c sub 1 plus c sub 1 c sub 2
Likewise, the second expression of the equation simplifies to:
a sub 2 a sub 1 plus a sub 2 a sub 2 plus b sub 2 b sub 1 plus b sub 2 b sub 2 plus c sub 2 c sub 1 plus c sub 2 c sub 2
The left and right side of the equation share these values:
a sub 1 a sub 2, b sub 1 b sub 2, c sub 1 c sub 2
So the equation shown can be simplified to:
a sub 1 a sub 1 plus b sub 1 b sub 1 plus c sub 1 c sub 1 minus open paren a sub 2 a sub 2 plus b sub 2 b sub 2 plus c sub 2 c sub 2 close paren or, v times v minus w times w equals 0, i.e., v times v equals w times w.
Because norm of v equals square root of v times v, then the norm of v squared equals v times v, so:
the equation has 3 lines. line 1: v times x equals w times w line 2: the norm of v squared equals the norm of w squared line 3: the norm of v squared minus the norm of w squared equals 0
Options A, B and C are incorrect because v times w equals w times v. In the correct expansions, the terms with v times w can be combined so that the sums will have coefficients of 0.
Domain IV—Probability and Statistics
Competency 015—The teacher understands how to use appropriate graphical and numerical techniques to explore data, characterize patterns and describe departures from patterns.
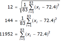
13. A calculus teacher gave an exam to 83 students where the highest possible score was 100. The teacher calculated that the average (arithmetic mean) score was 72.4, the median score was 72.0, the mode of the scores was 68.0 and the standard deviation of the scores was 12.0. There was a makeup exam for one student, and the student's score was 100. The teacher recalculated the average, median, mode, and standard deviation for the scores of all 84 students. Which of the following statements is true?
- The average and the standard deviation increased.
- The average, median and mode decreased.
- The median, mode and standard deviation decreased.
- The average, median and mode where unchanged.
- Enter to expand or collapse answer.Answer expanded
- Option A is correct because the average of the scores for the 83 students was:
sum of 83 scores over 83 equals 72.4.
To find the new average:
100 plus sum of 83 scores over 84 equals 100 plus 83 open paren 72.4 close paren over 84 equals 72.7 is greater than 72.4
The standard deviation of a finite set of numbers is found by using the equation:
sigma equals the square root of 1 over n times the sum from i equals 1 to n times open paren the quantity x sub i minus mu close paren squared where N is the number of elements in the set, x is the value of the element, i is the order of the element, and mu is the average score of the set.
Substituting with the original set, it can be shown that:
equation with 3 lines. Line 1: 12 equals the square root of 1 over 83 times the sum from i equals 1 to 83 times open paren the quantity x sub i minus 72.4 close paren squared Line 2: 144 equals 1 over 83 times the sum from i equals 1 to 83 times open paren the quantity x sub i minus 72.4 close paren squared Line 3: 11952 equals the sum from i equals 1 to 83 times open paren the quantity x sub i minus 72.4 close paren squared
Substituting with the new set, it can also be shown that:
equation with 2 lines. Line 1: the sum from i equals 1 to 84 times open paren the quantity x sub i minus 72.7 close paren squared equals open paren the quantity 100 minus 72.7 close paren squared plus the sum from i equals 1 to 83 times open paren the quantity x sub i minus 72.7 close paren squared Line 2: equals 745.29 plus the sum from i equals 1 to 83 times open paren the quantity x sub i minus 72.7 close paren squared Further:
equation with 7 lines. Line 1: the sum from i equals 1 to 83 times open paren the quantity x sub i minus 72.7 close paren squared Line 2: equals the sum from i equals 1 to 83 times open paren the quantity x sub i minus 72.4 minus 0.3 close paren squared Line 3: equals the sum from i equals 1 to 83 open bracket open paren the quantity x sub i minus 72.4 close paren squared minus 2 open paren 0.3 close paren open paren x sub i minus 72.4 close paren plus 0.09 close bracket Line 4: equals the sum from i equals 1 to 83 open bracket open paren the quantity x sub i minus 72.4 close paren squared minus 0.6 x sub i plus 43.53 close bracket Line 5: equals the sum from i equals 1 to 83 open paren the quantity x sub i minus 72.4 close paren squared minus 0.6 times the sum from i equals 1 to 83 x sub i plus the sum from i equals 1 to 83 times 43.53 Line 6: equals 11952 minus 0.6 times 83 times 72.4 plus 43.53 times 83 Line 7: equals 11959.47
So the standard deviation of the 84-element set is:
equation with 3 lines. Line 1: sigma equals the square root of 1 over 84 times the sum from i equals 1 to 84 times open paren the quantity x sub i minus 72.7 close paren squared Line 2: equals the square root of 1 over 84 times open paren the quantity 745.29 plus 11959.47 close paren Line 3: approximately equals 12.298
The standard deviation increased with the inclusion of a score of 100 to the set. Options B, C and D are incorrect because the average score and the standard deviation each increased with the inclusion of the score of 100 to the set.
Competency 016—The teacher understands concepts and applications of probability.
14. A cube has its six faces colored red, white, blue, green, yellow and violet. Each of the six faces is equally likely to be face up when the cube is tossed. The cube is tossed twice. What is the probability that the red face will appear face up on the first toss, but will not appear face up on the second toss?
- 1 over 36
- 5 over 36
- 5 over 12
- 1
- Enter to expand or collapse answer.Answer expanded
- Option B is correct. Because each of the six faces is equally likely to be face up when the cube is tossed, the probability that the red face will appear on the first toss is 1 over 6. The probability that the red face will not appear is 1 minus 1 over 6 equals 5 over 6. Because the two tosses are independent events, the probability that the red face will appear on the first toss, but not on the second, is open paren 1 over 6 close paren open paren 5 over 6 equals 5 over 36. Option A is incorrect because the probability that the red face will not appear is 1 minus 1 iver 6 equals 5 over 6, not 1 over 6. Option C is incorrect because open paren 1 over 6 close paren open paren 5 over 6 equals 5 over 36, not 5 over 12 . Option D is incorrect. The two tosses are independent events, and the probabilities are multiplied, not added.
Domain V—Mathematical Processes and Perspectives
Competency 018—The teacher understands mathematical reasoning and problem solving.
15. In 2012, the music industry in Country Y generated revenues of 900 million dollars in sound recordings. Jazz and blues sound recordings accounted for approximately 4.7 percent of the country's sale of sound recordings. The revenue from the sale of jazz and blues recordings in Country Y increased by 12.0 percent from 2010 to 2012. What was the approximate revenue from the sale of jazz and blues recordings in Country Y in 2010?
- 38 million dollars
- 60 million dollars
- 450 million dollars
- 803 million dollars
- Enter to expand or collapse answer.Answer expanded
- Option A is correct because in 2012 the revenue generated by jazz and blues sound-recording sales was 0.047 times 900 million dollars = 42.3 million dollars. Further, there was a 12.0% increase of sales from 2010 to 2012 in jazz and blues. Therefore, letting x represent the amount of sales in 2010, 1.12x equals 42.3. Solving for x shows that x equals 37.767..., which is approximately 38 million dollars. So the approximate revenue of the sale of jazz and blues recordings in Country Y in 2010 was about 38 million dollars. Options B, C and D are incorrect because each is greater than 42.3 million dollars:
1.12(60 million) = 67.2 million,
1.12(450 million) = 504 million, and
1.12(803 million) = 899.4 million.
Use the equation below to answer the question that follows.
cosine open paren A + B close paren equals cosine A plus cosine B
16. A teacher gives his class the trigonometric equation above and asks the students to verify whether the equation is valid for all angles A and B. If the equation is not true for all angles A and B, he asks his students to give a counterexample that shows the equation to be false. If the equation is true, for all angles A and B, the students are asked to give a proof. By introducing the concept in this manner, the teacher
- understands the problem solving process.
- evaluates how well a mathematical model represents a real-world situation.
- recognizes and uses multiple representations of a mathematical concept.
- applies correct mathematical reasoning to make conjectures, and uses deductive methods to evaluate the validity of conjectures.
- Enter to expand or collapse answer.Answer expanded
- Option D is correct. By posing the question to the class and asking them to verify and, if the equation is not true, disprove the statement through counterexample, or prove the statement, the teacher is fostering in his students the opportunity to use deductive reasoning and the problem-solving process. This activity enables students to test conjectures using deductive reasoning and demonstrates the use of counterexamples. Option A is incorrect because the students are not asked to solve the problem but to determine the validity of the conjecture. Option B is incorrect because the equation is not derived from a real-life scenario. Option C is incorrect because the equation shown does not use multiple representations.
Domain VII—Scientific Inquiry and Processes
Competency 022—The teacher understands how to select and manage learning activities to ensure the safety of all students and the correct use and care of organisms, natural resources, materials, equipment and technologies.
17. During a laboratory investigation on density, the side of an aluminum cube is measured to be 2.49 cm. The volume of the cube should be recorded with the correct number of significant figures as which of the following?
- 15 cm cubed
- 15.4 cm cubed
- 15.44 cm cubed
- 15.438 cm cubed
- Enter to expand or collapse answer.Answer expanded
- Option B is correct because there are three significant figures in the measurement, and because the volume of the cube is calculated by multiplying the measurement, the correct number of the significant figures recorded for the volume should also be three. Therefore, the answer is 15.4 cm3. Options A, C and D are incorrect because they are not expressed with the correct number of significant figures.
Competency 023—The teacher understands the nature of science, the process of scientific inquiry and the unifying concepts that are common to all sciences.
18. Which of the following is a scientific inference?
- A mass scale is accurate to 0.01 grams.
- Two charged spheres are observed to attract each other.
- The periodic wobbling of a distant star suggests that a planet is in orbit around it.
- The average acceleration of a cart can be determined from the change in its velocity over a given time interval.
- Enter to expand or collapse answer.Answer expanded
- Option C is correct because it is a reasonable conclusion drawn from data or observation, which defines a scientific inference. Option A is incorrect because it is a specification for a measuring instrument. Option B is incorrect because it is an observation with no conclusion. Option D is incorrect because it describes a calculation that makes use of the definition of average acceleration.
Domain VIII—Physics
Competency 025—The teacher understands the description of motion in one and two dimensions.
19. Vector quantities include which of the following? Select all that apply.
- Force
- Kinetic energy
- Acceleration
- Electric field
- Enter to expand or collapse answer.Answer expanded
- Options A, C and D are correct because vector quantities have both a magnitude and a direction and this is true of force, acceleration and electric field. Option B is incorrect because kinetic energy has a magnitude but not a direction, which means that it is a scalar quantity.
Competency 027—The teacher understands the concepts of gravitational and electromagnetic forces in nature.
20. On the basis of Coulomb's law, which of the following is true about the electrostatic force that two charged objects X and Y exert on one another?
- The force is directly proportional to the sum of the squares of the charges of the two objects.
- The force is inversely proportional to the square of the distance between the two objects.
- If the charges on objects X and Y are of the same sign, then the force on object X is in the same direction as the force on object Y.
- If the charges on objects X and Y have opposite signs, then the force on object X is in the same direction as the force on object Y.
- Enter to expand or collapse answer.Answer expanded
- Option B is correct because, according to Coulomb's law, the electrostatic force between two charges is inversely proportional to the square of the distance between the charges. Option A is incorrect because, according to Coulomb's law, the electrostatic force between two charges is directly proportional to the product of the two charges, not the sum of the squares of the charges. Options C and D are incorrect because, according to Newton's third law, the electrostatic forces that the charges exert on each other are always in opposite directions, regardless of the signs of the charges.
Competency 028—The teacher understands applications of electricity and magnetism.
21. Two 6 ohm resistors are connected in parallel to an ideal 24 V source. What is the current through the voltage source?
- 2 A
- 4 A
- 6 A
- 8 A
- Enter to expand or collapse answer.Answer expanded
- Option D is correct because the two resistors connected in parallel combine to have a 3 ohm equivalent resistance, while the ideal voltage source has zero internal resistance. Thus, by Ohm's law, the current through the 24 V source is equal to (24/3) A, or 8 A. Option A is incorrect because it gives the result for two 6 ohm resistors connected in series, not parallel. Option B is incorrect because it gives the current through a single 6 ohm resistor. Option C is incorrect because it is just a statement of the resistor value expressed in amps instead of ohms.
Competency 029—The teacher understands the conservation of energy and momentum.
22. In an isolated system, which of the following quantities are conserved? Select all that apply.
- Velocity
- Linear momentum
- Angular momentum
- Energy
- Enter to expand or collapse answer.Answer expanded
- Options B, C and D are correct because, in an isolated system, linear momentum, angular momentum and energy are conserved quantities. Option A is incorrect because velocity is not a conserved quantity.
Competency 031—The teacher understands the characteristics and behavior of waves.
23. Which of the following is a consequence of refraction of light?
- The formation of an image after light passes through a lens
- The bending and spreading of light as it passes through a narrow slit
- The pattern formed when light passes through two narrow, parallel slits
- The focusing of light into a small area after reflecting from a curved mirror
- Enter to expand or collapse answer.Answer expanded
- Option A is correct because the bending or refraction of light by the lens material results in the image formed by the lens. Option B is incorrect because it is diffraction, not refraction, that causes light to bend or spread when passing through a slit. Option C is incorrect because the pattern formed when light passes through two slits is due to interference, not refraction. Option D is incorrect because it refers to the focusing of light from a curved mirror as a result of reflection, not refraction.
Competency 032—The teacher understands the fundamental concepts of quantum physics.
24. According to the Bohr model of the hydrogen atom, what happens when an electron makes a transition from a lower energy level to a higher level?
- The nucleus loses kinetic energy.
- A photon is absorbed by the atom.
- A neutron decays into a proton, an electron, and a neutrino.
- A positron makes a transition from the higher level to the lower level.
- Enter to expand or collapse answer.Answer expanded
- Option B is correct because the Bohr model describes the hydrogen atom in terms of discrete stationary energy levels, and it is the transition of an electron from a lower energy level to a higher energy level that results from the absorption of a photon by the atom. Option A is incorrect because the kinetic energy of the nucleus is outside the scope of the Bohr model. Option C is incorrect because it describes neutron decay, which is outside the scope of the Bohr model. Option D is incorrect because hydrogen atoms do not contain positrons.
Domain IX—Chemistry
Competency 033—The teacher understands the characteristics of matter and atomic structure.
25. Of the following species, which has the largest ionic radius?
- N A positive
- M G 2 positive
- A L 3 positive
- Cl negative
- Enter to expand or collapse answer.Answer expanded
- Option D is correct because the additional electron in Cl negative increases the electron-electron repulsion and therefore the ionic radius is larger than the atomic radius. Cl negative has the same electron configuration as Ar. Options A, B and C are incorrect because N A positive, M G 2 positive, and A L 3 positive have the same electron configuration as Ne. The attractive forces exerted by the nucleus on the remaining electrons cause contraction, so the ionic radii decrease in the following order: N A positive is greater than M G 2 positive is greater than A L 3 positive.
Competency 035—The teacher understands the properties and characteristics of ionic and covalent bonds.
26. Which of the following best describes the molecular geometry of formaldehyde H sub 2 C O?
- Tetrahedral
- Trigonal planar
- Trigonal pyramidal
- T-shaped
- Enter to expand or collapse answer.Answer expanded
- Option B is correct because formaldehyde has 3 bonding electron domains. According to the VSEPR model, the molecular geometry is trigonal planar. Option A is incorrect because molecules with 4 bonding electron domains have tetrahedral geometry. Option C is incorrect because molecules with 3 bonding electron domains and one nonbonding electron domain have trigonal pyramidal geometry. Option D is incorrect because molecules with 3 bonding electron domains and 2 nonbonding electron domains have T-shaped geometry.
Competency 036—The teacher understands and interprets chemical equations and chemical reactions.
27. Which of the following is the balanced equation for the displacement reaction of aluminum with silver nitrate?
- Al plus AgNO sub 3 yields AlNO sub 3 plus Ag
- Al plus 3 AgNO sub 3 yields Al open paren NO sub 3 close paren sub 3 plus 3 Ag
- Al plus AgNO sub 3 yields AlN plus AgO sub 3
- Al plus Ag sub 3 N yields AlN plus 3 Ag
- Enter to expand or collapse answer.Answer expanded
- Option B is correct because the reaction of aluminum with silver nitrate forms Al(NO sub 3) sub 3 and Ag. The formula for silver nitrate is AgNO sub 3. The equation is balanced. Option A is incorrect because the formula for aluminum nitrate is not correctly represented. Option C is incorrect because the incorrect products are formed. Option D is incorrect because silver nitrate and aluminum nitrate are incorrectly represented.
Competency 037—The teacher understands types and properties of solutions.
28. Of the following solutions, which has the highest electrical conductivity?
- 1 M NaCl
- 1 M HCH sub 3 CO sub 2
- 1 M HCl
- 1 M Na sub 2 SO sub 4
- Enter to expand or collapse answer.Answer expanded
- Option D is correct because 1 M Na sub 2 SO sub 4 dissociates to produce 3 moles per liter of ions. Option A is incorrect because 1 M NaCl dissociates to produce 2 moles per liter of ions. Option B is incorrect because HCH sub 3 CO sub 2, a weak acid, only partly dissociates in aqueous solutions and is a weak electrolyte. Option C is incorrect because 1 M HCl, a strong acid, dissociates to produce 2 moles per liter of ions.
Competency 038—The teacher understands energy transformations that occur in physical and chemical processes.
Use the table below to answer the question that follows.
Specific heat of ice 2.03 J/g·°C Specific heat of water 4.18 J/g·°C Heat of fusion of ice 334 J/g
29. Based on the data in the table above, what is the change in heat content of 100. g of water when it is cooled from 20.0°C to negative 20 degrees C?
- negative 45,820 J
- negative 12,420 J
- positive 33,400 J
- positive 45,820 J
- Enter to expand or collapse answer.Answer expanded
- Option A is correct because the change in heat content of 100. g of water when it is cooled from 20°C to ice at negative 20 degrees C is the sum of the heat released by the cooling of the water, the freezing of the water, and the cooling of the ice. Option B is incorrect because it is the sum of the heat released by cooling of the water and ice but does not include the heat released during the freezing process. Option C is incorrect because it is the amount of energy required to melt ice at 0°C. Option D is incorrect because it is the change in heat content for the reverse process of warming ice at negative 20 degrees C to water at 20°C.
Competency 039—The teacher understands nuclear fission, nuclear fusion and nuclear reactions.
Use the equation below to answer the question that follows.
C mass number 14 atomic number 6 yields N mass number 14 atomic number 7 plus e negative
30. The isotope carbon-14 decays according to the equation shown above. The transformation is an example of
- alpha decay.
- beta decay.
- gamma decay.
- x-ray emission.
- Enter to expand or collapse answer.Answer expanded
- Option B is correct because beta-minus decay is the process in which a neutron is converted to a proton and an electron, a beta particle, is emitted. Option A is incorrect because alpha decay is the process in which a helium ion, an alpha particle, is emitted from the nucleus and a lighter nuclide is produced. Option C is incorrect because gamma decay is the process in which electromagnetic radiation with high frequency and high energy is emitted from atomic nuclei and is indicated by the Greek symbol gamma γ. Option D is incorrect because x-rays are electromagnetic radiation emitted by electrons.
Competency 040—The teacher understands oxidation and reduction reactions.
Use the table below to answer the question that follows.
Reduction Half-Reaction E° (V) Ag positive open paren aq close paren plus e negative yields Ag open paren s close paren positive 0.80 Cu 2 positive open paren aq close paren plus e negative yields Cu open paren s close paren positive 0.34 Fe 2 positive open paren aq close paren plus e negative yields Fe open paren s close paren negative 0.44 Zn 2 positive open paren aq close paren plus e negative yields Zn open paren s close paren negative 0.76
31. Based on the standard reduction potentials in the table above, which of the following reactions will occur spontaneously?
- 2 Ag open paren s close paren plus Fe 2 positive open paren aq close paren yields 2 Ag positive open paren aq close paren plus Fe open paren s close paren
- Cu open paren s close paren plus Fe 2 positive open paren aq close paren yields Cu 2 positive open paren aq close paren plus Fe open paren s close paren
- Fe open paren s close paren plus Zn 2 positive open paren aq close paren yields Fe 2 positive open paren aq close paren plus Zn open paren s close paren
- Zn open paren s close paren plus Cu 2 positive open paren aq close paren yields Zn 2 positive open paren aq close paren plus Cu open paren s close paren
- Enter to expand or collapse answer.Answer expanded
- Option D is correct because the net potential for the reaction is E degrees equals open bracket positive 0.34 V plus open paren positive 0.76 V close paren close bracket equals positive 1.10 V. The sign of the standard reduction potential for the species that is oxidized, Zn, is reversed before summing the standard reduction potentials for the two half-reactions. A net potential that is positive indicates that the reaction is spontaneous. Option A is incorrect because the net potential for the reaction is negative 1.24 V. Option B is incorrect because the net potential for the reaction is negative 0.78 V. Option C is incorrect because the net potential for the reaction is negative 0.32 V.
Domain X—Scientific Learning, Instruction and Assessment
Competency 042—The teacher understands research-based theoretical and practical knowledge about teaching science, how students learn science and the role of scientific inquiry in science instruction.
32. Which of the following is an example of inquiry-based science learning?
- A group of students uses small carts to study whether kinetic energy is conserved when they collide.
- A classroom of students watches a video on the similarities and distinctions between work and impulse.
- A teacher gives a presentation on the role heating and work play in the conservation of energy.
- A student conducts a literature search on the role of entropy in thermodynamic systems.
- Enter to expand or collapse answer.Answer expanded
- Option A is correct because inquiry-based science involves students doing a hands-on experiment to answer a question. Option B is incorrect because videos can be helpful, but they are not elements of inquiry-based learning. Option C is incorrect because teacher presentations are important, but they are not an element of inquiry-based learning. Option D is incorrect because searching and reading literature can have value, but they are not an element of inquiry-based learning.
Domain XI—The Engineering Method
Competency 044—The teacher has a working knowledge of engineering fundamentals.
Use the figure below to answer the question that follows.

The figure represents the cross-section of a hydraulic system with two chambers and a connecting region between them at the bottom. Each chamber has a piston. The piston on the left has a small diameter, and the piston on the right has a large diameter. Below the piston on the left is the label A sub 1, and below the piston on the right is the label A sub 2.
33. A technician designs a hydraulic system to raise heavy objects. The cross-sectional area of the smaller piston is A sub 1 and the cross-sectional area A sub 2 of the larger piston is 10 times that of the smaller piston. The system is filled with an incompressible fluid. If the mechanical advantage of the system is 10, how much force must be applied to lift a 200-kilogram mass and on which piston should the force be applied? (Assume that the gravitational acceleration is 10 meters per second squared.)
- A force of 200 newtons must be applied to the larger piston.
- A force of 200 newtons must be applied to the smaller piston.
- A force of 20 newtons must be applied to the larger piston.
- A force of 20 newtons must be applied to the smaller piston.
- Enter to expand or collapse answer.Answer expanded
- Option B is correct because the hydraulic press is based on Pascal's law: in a fluid at rest in a closed container, a pressure change at one point is transmitted — without loss — to every other point in the fluid, and is also transmitted onto the walls of the container. That means pressure is the same on both pistons. Moreover, pressure is equal to the force divided by the area on which it acts.
Let m be the mass, g the gravitational acceleration, F sub 1 the force on piston 1, F sub 2 the force on piston 2, A sub 1 the area of piston 1, A sub 2 the area of piston 2, p1 equals F sub 1 over A sub 1 the pressure on piston 1 and p2 equals F sub 2 over A sub 2 the pressure on piston 2. Because the pressure is equal and it is given that A sub 2 equals 10A sub 1, we have:
line 1: F sub 1 over A sub 1 equals F sub 2 over A sub 2 line 2: F sub 1 over A sub 1 equals F sub 2 over 10A sub 1 line 3: 10F sub 1 equals F sub 2
The technician will act on piston 1 in order to exert less force. To lift a 200 kilogram mass with force F sub 1, first calculate F sub 2, then solve for F sub 1.
line 1: F sub 2 equals open paren 200 kg close paren open paren 10 fraction m over s squared close paren equals 2000 N. line 2: F sub 1 equals F sub 2 over 10 equals 200 N.
Option A is incorrect because the force is right but the piston is wrong. Option C is incorrect because both the force and the piston are wrong. Option D is incorrect because the piston is right but the force is wrong.
Use the closed electrical circuit below to answer the question that follows.

The shape is a horizontal rectangle with an additional vertical line connecting the top and bottom sides. On the left side is a circle with a plus sign and a minus sign inside, representing a generator, labeled 10 V. On the top, between the left side and the inside vertical line, is a zigzag, representing a resistor, labeled R sub 1, 10 Ω (ohm). On the inside vertical line is another resistor, labeled R sub 2, 20 Ω (ohm). To the right of this resister is a V, with a plus sign above it and a negative sign below it. On the right side is another resistor, labeled R sub 3, 20 Ω (ohm).
34. The closed electrical circuit shown consists of a generator and three resistors, R sub 1 R sub 2 and R sub 3. The electromotive force of the generator is 10 volts. Which of the following is the second resistor's voltage, V?
- 3.33 V
- 5.00 V
- 6.67 V
- 10.00 V
- Enter to expand or collapse answer.Answer expanded
- Option A is correct because of Ohm's law, which relates the voltage (V), the current (I) and the resistance (R) according to the formula V equals RI.
First resolve the complexity of the circuit by finding the resistance for the parallel circuits using the formula:
line 1: 1 over R sub 2 to 3 equals 1 over R sub 2 plus 1 over R sub 3 line 2: equals 1 over 20 plus 1 over 20 line 3: 1 over 10 ohms
Then find the resistance of the circuit by adding R sub 1 and R sub 2 to 3, 20 plus 10 equals 30 ohms. Using Ohm's law and the fact that EMF of the generator equals the voltage of the circuit, I equals V over R equals 10 over 30 equals 1 over 3.
Further, as the current passes through this circuit it splits in half when it passes through the parallel circuits. This is because the resistance and voltage values are equal.
Applying Ohm's Law a second time:
V sub 2 equals R sub 2 I sub 2 equals 20 open paren 1 half close paren open paren 1 third close paren is approximately 3.33 V.
Options B, C and D are incorrect because the values of the voltages are wrong.
35. A broken down car, with mass 1859 kilograms, is accelerated southward at 1.32 meters per second squared when pulled by a tow truck. Which of the following is closest to the force of friction if the tow truck exerts 2.84 kilonewtons, southward on the car?
- 0.386 kilonewtons
- 0.842 kilonewtons
- 5.293 kilonewtons
- 2840 kilonewtons
- Enter to expand or collapse answer.Answer expanded
- Option A is correct because Newton's second law of motion states that the sum of the forces, F, on an object is equal to the total mass, m, of that object multiplied by the acceleration, a, that force gives to the object: F equals ma.
The total force applied to the car is its mass, 1859 kilograms, times its acceleration, 1.32 meters per second squared:
line 1: F equals open paren 1859 close paren open paren 1.32 close paren equals 2453.88 newtons line 2: equals 2.45 kilonewtons
In the system there are two forces: the tow truck force, F sub t, and the friction, F sub f.
F equals F sub t plus F sub f, then F sub f equals F minus F sub t equals 2.454 minus 2.840 equals negative 0.386 kN
The minus sign indicates that the friction forces are in the opposite direction of the motion and the direction of the total force.
Option B is incorrect because the correct value of F sub f is 0.386 kN.
Option C is incorrect because 5.293 kN is the result of the algebraic sum of F sub f and F, but F sub f equals F minus F sub t.
Option D is incorrect because the correct value of friction F sub f is 0.386 kN. Furthermore the friction must be lower than the tow truck force to have the car moving. With a friction of 2840 kN the car cannot move.
Competency 046—The teacher understands basic principles of information technology and computers and the role of information technology.
36. A wireless communication system has been set up between two locations and is said to be problematic because it is band-limited. Which of the following is the most likely cause of the problem?
- It takes too long to encode the bits that are to be transmitted
- There is not enough computer memory in the system
- There is not enough dedicated transmission bandwidth to send the information quickly enough
- There are types of transmissions that are forbidden due to security risks
- Enter to expand or collapse answer.Answer expanded
- Option C is correct because "band-limited" is a common term meaning that there is not enough transmission frequency space to quickly and efficiently send information. Option A is incorrect because the time necessary for the transmission of data does not have a threshold that once exceeded may be considered a problem by the system. Option B is incorrect because a "band-limited problem" is not correlated to a computer memory problem. Option D is incorrect. When there are types of transmissions that are forbidden due to security risks, it's the firewall system or the security program that stops the transmission.
Domain XII—The Engineering Profession
Competency 050—The teacher understands the concept of teaming, demonstrates knowledge of careers in engineering and understands the legal and ethical requirements of the engineering profession.
Use the table below to answer the question that follows.
Maximum repayment period 60 months Maximum monthly payment $20,000 Maximum total repayment $1,000,000
37. The board of directors of a small engineering firm has approved a long-term investment in one of their projects that will require securing a $500,000 loan. The guidelines for the loan are listed in the table shown. Which of the following options represents an offer from a commercial banking institution that meets the criteria set by the board?
- 48 months, at 12% annual interest, compounded quarterly
- 30 months, at 24% annual interest, compounded quarterly
- 36 months, at 3% simple and 36% annual interest
- 24 months, at 4% simple and 48% annual interest
- Enter to expand or collapse answer.Answer expanded
- Option A is correct because the use of the compound interest formula
A equals P open parent 1 plus r over n close paren to the power of n t, where P is the loan amount, 500,000 dollars, t is the maximum repayment period of 4 years, r is the annual interest rate of 12% or 0.12, and n is 4 because the interest is compounded quarterly.
The total repayment is
Line 1: A equals 500,000 open paren 1 plus 0.12 over 4 close paren to the power of 4 open paren 4 close paren Line 2: equals 500,000 open paren 1.03 close paren to the power of 16 Line 3: equals 802,353.22
Comparing restrictions, option A's repayment period is under 60 months. Further, the monthly payment is 802,353.22 over 48 equals 16,715.69, which is under the maximum monthly payment of 20,000 dollars. Finally, the engineering firm will have to pay $802,353.22 over the course of the 48 months, which is less than maximum total repayment of $1,000,000.
Option B is incorrect because it does not meet the second restriction — maximum monthly payment — set by the board. Using the compound interest formula, the monthly payment would be 895,423.85 over 30 equals 29,847.46 dollars, which is more than 20,000 dollars per month. Option C is incorrect because it does not meet either the second or third restriction. To find the total repayment, use both the simple interest and simple annual interest formulas:
Line 1: I sub simple equals P times i Line 2: A sub simple equals P open paren 1 plus t times r close paren Line 3: Total equals A sub simple plus I sub simple.
Line 4: Total equals A sub simple plus I sub simple Line 5: equals 500,000 open paren 1 plus 3 times 0.36 close paren plus 500,000 times 0.03 Line 6: equals 1,055,000
and the monthly payment is 1,055,000 over 36 equals 29,305.60.
Option D is incorrect because it does not meet the second restriction set by the board. The total is given by:
Line 1: Total equals A sub simple plus I sub simple Line 2: equals 500,000 open paren 1 plus 2 times 0.48 close paren plus 500,000 times 0.04 Line 3: equals 1,000,000
The monthly payment would be: 1,000,000 over 24 equals 41,666.67.
38. An engineering manager who supervises a team of twelve people has been assigned to generate reports from all four sectors of production. The manager is newly appointed and has been asked by the boss to practice delegation. Which of the following actions are most appropriate and efficient to get the reports completed?
- Personally writing all the reports
- Meet with senior members of the team to determine which team members are best suited to write the reports, and then let the senior members assign the reports to whoever is appropriate. The new manager will review and edit the reports before sending to the boss.
- Assigning one report to each of the twelve team members and then personally reviewing, consolidating and rewriting all the reports to correct any important omissions
- Assigning all four reports to one randomly selected team member, assuming that all members are well qualified to write a report
- Enter to expand or collapse answer.Answer expanded
- Option B is correct because in order to practice delegation, the manager should share responsibilities. The most efficient way for the new manager to have the reports generated and to practice delegation is to meet with senior members of the team who know about the other employees' skills and then let senior members of the team assign the report writing to the most qualified individuals. It is a good practice for a manager to review and edit any report being sent to senior management. Option A is incorrect because the new manager does not delegate anything or share responsibilities in this process. Option C is incorrect because this solution is inefficient. Assigning one report to each of the twelve team members without regard to experience or ability may lead to omissions or may require additional time for completion. Further, by reviewing, consolidating, and editing each report, the manager may spend time that could be better allocated to other tasks. Option D is incorrect because the process is inefficient. Randomly assigning the report to one team member without regard to experience, ability or workload may lead to omissions, errors and an incomplete report.
39. An engineering firm has been hired by the city to construct a bridge over a newly formed irrigation channel. The main professional engineer (PE) is out on medical leave, and another engineer has taken his place as temporary PE. The temporary PE has just been recently certified in Civil Transportation by the National Council of Examiners for Engineering and Surveying (NCEES) and he is competent but unsure of himself in certain areas of the safety requirements for the bridge. He would prefer to delay signoff until the experienced PE comes back, but an official from the city asks the temporary PE if it is possible to speed up the sign-off process. By signing off without having the experienced PE review the plan, this NCEES-licensed PE will be violating his obligation to which of the following?
- To society
- To society, his employer and his clients
- To other licensees
- To society, his employer, his clients and other licensees
- Enter to expand or collapse answer.Answer expanded
- Option D is correct because by certifying work in an area where the engineer is unsure of himself, he is putting society at risk, putting the reputation of his employer at risk, putting his clients at risk and by violating the professional code of ethics is putting the profession at risk. Therefore he is violating his obligation to all four entities mentioned in the answer choices. Options A, B and C are incorrect because they are not complete answers. Option D is the only complete answer that includes all groups affected by the engineer's choice.
40. A chemical engineering company, ChemA, has developed a new type of chemical process and has patented a new piece of equipment to run the process. An engineer owns a small business that provides expendable parts and supplies for use with the equipment. According to the code of ethics, when asked at a press conference to give his opinion on the effectiveness of the new equipment over equipment using older techniques, the engineer should
- refrain from making any comments since he has the potential to profit from the acceptance of the new equipment by the users.
- make statements that are only highly technical in nature in order to confuse the press.
- disclose his relationship with the company that manufactures the processing equipment before commenting or giving an opinion.
- read a statement that has been prepared by ChemA specifically for the purposes of responding to questions from the press.
- Enter to expand or collapse answer.Answer expanded
- Option C is correct according to the code of ethics of the National Society of Professional Engineers. Option A is incorrect because according to the code of ethics of the National Society of Professional Engineers, honesty and information sharing must supersede profit. Option B is incorrect because according to the code of ethics of the National Society of Professional Engineers, everyone must encourage honesty and information sharing. It is ethically wrong for an engineer to intentionally confuse the press or the public. Option D is incorrect because reading a statement that has been prepared by ChemA instead of giving a personal opinion could indicate that he is withholding his real opinion in favor of ChemA and personal profit.
Competency 051—The teacher knows how to provide a safe and productive learning environment.
41. A good lab instructor promotes a policy of safety awareness and helps students, faculty and staff develop positive attitudes toward safety. Which of the following is the best procedure to follow to help students prevent accidents in the lab?
- Fully explaining all safety considerations to students at the beginning of each lab
- Demonstrating safety procedures and identifying potential hazards before students begin their work and identifying hazards and applying safety procedures as appropriate throughout the lab
- Posting and distributing written directions or warnings, when appropriate, about the safe handling of materials and equipment used in instruction
- Regularly administering safety quizzes to students to ensure that safe procedures are followed
- Enter to expand or collapse answer.Answer expanded
- Option B is correct because it is the best way to prevent accidents. Practical activity stimulates interest and attention. Safety procedures are more easily learned if developed practically rather than theoretically. Identifying potential hazards and demonstrating the corresponding safety procedures will allow everyone to act properly under dangerous conditions. As safety hazards arise, they must be addressed immediately. Option A is in correct because while fully explaining applicable safety considerations is a good practice, the process described in option B is more effective if the instructor wants to raise safety awareness for each practical activity. Options C and D are incorrect because written materials and quizzes can help reinforce safety procedures, but they may not address practical daily activities.
42. A group of students are participating in a lab activity in which they design and test different types of electrical circuits. Which of the following safety procedures is most important for the students to follow?
- Removing drinks from the laboratory area prior to the activity
- Wearing safety goggles and aprons while in the lab area
- Disposing of chewing gum before starting the lab activity
- Keeping loose hair and clothing tied back during the lab activity
- Enter to expand or collapse answer.Answer expanded
- Option A is correct because water and other liquids can conduct electricity. Removing drinks from the lab area ensures that an accidental spill will not lead to the student's receiving an electrical shock. Option B is incorrect because although wearing safety goggles and aprons is a safety procedure, it is less specific and important during an electrical experiment compared with the danger of the liquids' electrical conductivity. Option C is incorrect. Although disposing of chewing gum is a safety procedure, it is less specific and important during an electrical experiment compared with the danger of the liquids' electrical conductivity. Option D is incorrect because although keeping loose hair and clothing tied back during the lab activity is a safety procedure, it is less specific and important during an electrical experiment compared with the danger of the liquids' electrical conductivity. Clothing and hair do not transmit electricity very well so they are not electrical risks. They may however reduce the field of view and have negative interactions with the material and equipment on the worktable.
Use the tables below to answer the question that follows.
Device Power Rating Vacuum 1360 W Spotlight 720 W
Device Amperage Rating Power Rating 1–7 amps 16 gauge 8–10 amps 14 gauge 11–14 amps 12 gauge 14+ amps 10 gauge
43. A technician is setting up the machine shop lab and needs to use a spotlight and shop vacuum, with the requirements shown. If the lab has a 120V source, and the technician is plugging both appliances into the same extension cord in parallel, what is the minimum gauge wire the setup requires?
- 16 gauge
- 14 gauge
- 12 gauge
- 10 gauge
- Enter to expand or collapse answer.Answer expanded
- Option D is correct because the appliances are in parallel, the total power required is the sum of both devices, which totals 2080W. The amperage (A) is calculated by dividing the power (P) by the voltage (V): A equals P over V equals 2080 over 120 equals 17.33 amps. Therefore a minimum of 10 gauge wire is necessary. Option A is incorrect because 16 gauge wire is the minimum wire for 1–7 amps. The total required amperage is 17.33 amps, which requires a minimum of 10 gauge — not 16 gauge — wire. Option B is incorrect because 14 gauge wire is the minimum wire for 8–10 amps. The total required amperage is 17.33 amps, which requires a minimum of 10 gauge — not 14 gauge — wire. Option C is incorrect because 12 gauge wire is the minimum wire for 11–14 amps. The total required amperage is 17.33 amps, which requires a minimum of 10 gauge — not 12 gauge — wire.
Competency 052—The teacher understands the importance of professional development and how to apply engineering knowledge to plan, implement and assess student learning.
44. A group of eighth grade students received the following instruction from their teacher:
"Using less than 15 feet of masking tape and 110 paper straws, design a bridge that will span the two tables in the classroom and hold the weight of the electric pencil sharpener. Test to determine if plastic straws are better for building the structure than paper straws. Then try wooden frozen-dessert sticks instead of straws."
Which of the following best describes this type of activity?
- An open-ended, project-based activity
- A focused, project-based activity
- A controlled experiment
- A qualitative inquiry
- Enter to expand or collapse answer.Answer expanded
- Option A is correct because the activity proposed by the teacher is an intentional and planned learning experience that helps students to develop new skills and learn new information, while maintaining the positive association with play. Therefore it is a project-based activity. Because there are many ways to complete the activity and many potential outcomes, it is also open-ended. Option B is incorrect because even if the activity proposed by the teacher is a project-based activity, the teacher does not explain how to build the bridge. Since the students are free to devise their personal solution, the activity is not focused. Option C is incorrect because the activity proposed by the teacher is not based on a defined repeatable procedure and the consequent logical analysis of the results. Option D is incorrect because qualitative inquiry means studying cases in their natural settings and then subjecting the resulting data to analytical induction.



,


















